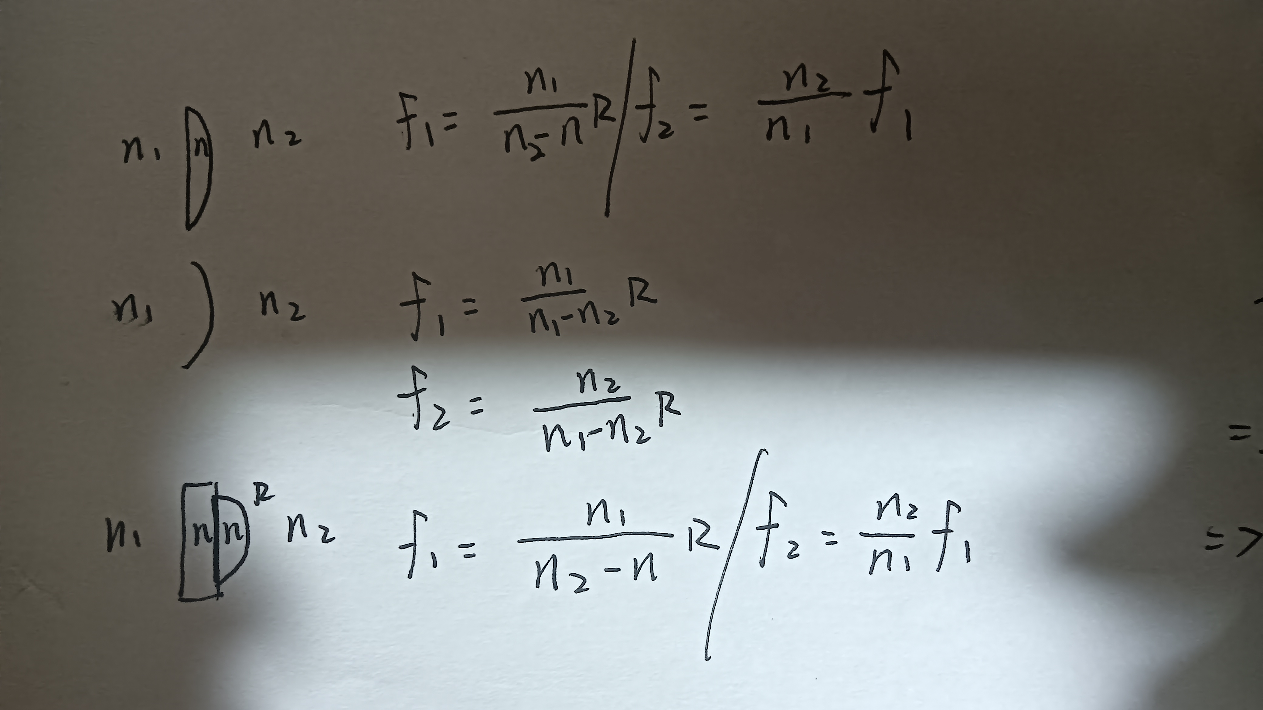
球界面的焦距公式f=n1/(n1-n2)(如图2)
若是平凸球透镜,即镜折射率为n,两侧折射率为n1、n2(如图1),此时两侧f分别如何计算?
若在平凸透镜平端加玻璃板(如图3),又应如何计算?
(图中公式不一定对)

球界面的焦距公式f=n1/(n1-n2)(如图2)
若是平凸球透镜,即镜折射率为n,两侧折射率为n1、n2(如图1),此时两侧f分别如何计算?
若在平凸透镜平端加玻璃板(如图3),又应如何计算?
(图中公式不一定对)

全部按照多次成像做就可以,直接左边平行光得到右边焦点,右边平行光得到左边焦点,不过不薄不能这样处理。
不薄的就老老实实多次成像,不用管焦点,除非他要求计算。
要求计算就要考虑主点分离的情况,就是没有光心